Most SAT math questions present a problem and ask you to solve it. In fact, most math questions you have ever done do exactly this. But discriminant questions are peculiar. If regular math is your mom asking who you were hanging out with last Friday, discriminant questions are your mom asking how many people you were hanging out with last Friday.
For some reason, that’s even scarier. Weird question, ma. What exactly do you know?
But I digress.
What is the discriminant? Discriminant questions will require you to figure out how many solutions a given equation has. In some cases, this bit of information might be used to then solve for an unknown. Here’s one example:

This question sounds very difficult, and it would likely be one of the last few questions in the section. However, it is only difficult if you don’t know how to find the discriminant.
Looking for more SAT Math help? Check Out Test Geek’s Free SAT Study Guide.
Have no fear, though. I’m going to run through the discriminant formula and take a look at how it can be used on the SAT math section. As a bonus, you’ll even get a chance to watch a perfect-scoring Test Geek tutor break things down and do some practice questions.

Discriminant: Easy SAT Math Points
These questions are easy because 90% of the challenge is simply knowing the formula. Even better, it’s an easy formula:

If you know this formula and these three rules, you are very likely to get any question related to the discriminant right.
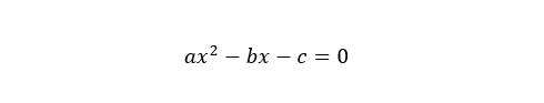
Where do we get our a, b and c? From the standard form of quadratics:

Note that, to use this formula successfully, we must get our equation into this exact form. Having anything other than zero on one side will give us incorrect results.
Once you get your a, b and c values, just plug them into our discriminant formula and follow the rules.
But what happens if you don’t know the formula? You will almost certainly miss these easy points! The greatest surgeon in the world can’t out-cut Fred Flintsone if he doesn’t have a scalpel, and the greatest SAT math wizard (you?) in the world can’t solve a problem if a required formula isn’t known.
Discriminant SAT Math Example
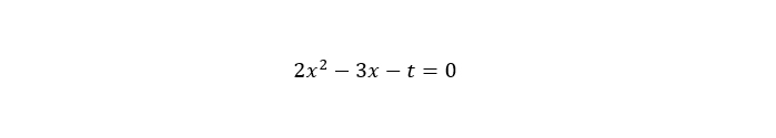
Let’s jump back to that practice question from above:

This is a backwards discriminant problem. Instead of your mom asking you how many people you were with, this is your mom saying she knows you were with three people, and she’s going to figure out which three they were. Spooky stuff.
Feeling Overwhelmed? Get 1-on-1 SAT Help from a Test Geek Tutor.
Before we start plugging in for a, b and c, remember that discriminant problems require that we get things into our standard form for quadratics. That means we need to take the t to the other side:

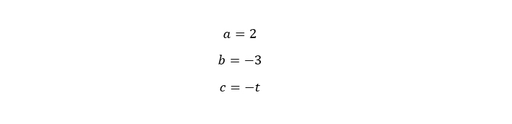
Now, we can identify our a, b and c:

Further, we know that this equation has no real solutions, which means that the value of our discriminant formula must be negative. Knowing that, let’s not set the equation equal to a certain number. Instead, let’s turn it into an inequality and show that it is less than zero:

Remember that we can treat inequalities just like normal equations unless we are multiplying or dividing by a negative number, in which cases we must flip the sign.
Solving:

So, any number that is smaller (more negative) than -9/8 will satisfy our equation. The only answer choice that works is -3, or A.
How Frequently is the Discriminant Tested?
College Board doesn’t publish any official numbers on how frequently various concepts are tested, but we can get an idea of what students should expect by crunching the numbers on the existing official SAT practice tests. For this analysis, I looked at College Board tests 1-10.
Out of those ten official SAT practice tests, I found three examples of problems requiring the discriminant:
Test 2, Section 4, Question 29
Test 4, Section 4, Question 30
Test 6, Section 3, Question 13
Want a convenient resource for these practice tests, along with answers and explanations? Check out our FREE SAT PREP GUIDE.
There are two big insights here:
- Discriminant questions show up on about 30% of SAT tests. This means they aren’t frequently tested, but remember that they are easy if you know the formula. It’s still worth knowing the formula to get some (almost) automatic points.
- There are 30 multiple choice questions in section four, so the first two questions are either last or next-to-last. That’s about as hard as it gets in College Board’s view.
There are 15 multiple choice questions in section three, so the third question above is the third-hardest multiple-choice question in the section. This is still supposedly a hard problem.
If you are a high-scoring student, you have to know how to solve discriminant problems. Getting from a 700 to a 750+ on the SAT math means you have to be good at some infrequently-tested concepts. This is an opportunity to get hard questions right without doing hard math, and those opportunities are limited. Take advantage of these.
Final Thoughts on the Discriminant
The bottom line here really doesn’t get much simpler: Learn the formula (with rules) and look at the three examples above from the official practice tests. If you know the formula and rules and can do those three questions, you can get any discriminant question you see on the SAT math section correct.









Comments