If you’re at all familiar with the format of the SAT, you’ll know that the exam has a provided formula sheet for the math sections of the test. Unfortunately, the ACT is not as giving. The ACT does not have a formula sheet, meaning students taking that test will need to memorize key formulas to succeed on the test. But which ones are the most important?
That’s where we come in! This blog post is dedicated to the most important formulas you should have prepped and primed in your brain on test day.
Looking to find out all of the differences between ACT and SAT math? Check this out!
Feeling Overwhelmed? Get 1-on-1 ACT Help from a Test Geek Tutor
Number and Quantity Formulas
Here, the ACT is looking to test you on your ability to deal with complex number systems. Expect to see about 10% of ACT Math questions dedicated to these concepts; don’t forget to memorize these formulas!
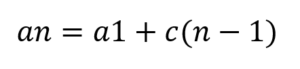
Sequences:
Sequence with a constant of C:
Arithmetic Sequence:

Geometric Sequence:

These formulas can be really helpful in solving sequence problems quickly. Sure, you can figure these out by solving longhand, but time is valuable on the ACT so consider all shortcuts your friend.
Logarithms:

Rates:
![]()
![]()
Functions
Short and sweet here, but not simple. It’s not uncommon to struggle with function notation, and I don’t think anyone is necessarily itching to relearn trigonometry.
Function Notation:
![]()
Note: this is different from fg(x), which is f(x) * g(x).
Trigonometry on the Coordinate Plane:
![]()
Algebra Formulas
General algebra makes up a large portion of the math you’ll see on the ACT, so even if this section seems familiar to you, don’t overlook it. Memorize these formulas, but for this portion specifically, understand how to interpret them and determine variables from a graph.
Linear Graphs:

Slope-intercept formula:
![]()
![]()
![]()
Distance formula:
![]()
You’ll know to use this formula if you find a question asking the length of a line segment given two points, or if they outright ask the distance between two points on a graph.
Midpoint formula:
![]()
Questions are fairly straightforward when they are asking for the midpoint, so it will be easy to identify when you’ll need this. Expect them to look something like this: what is the midpoint of a line segment that goes from point A to point B?
Quadratics:
FOIL (First, Outer, Inner, Last):
![]()
You might be tired of hearing about FOIL, but it’s a formula that’s commonly needed on the ACT. It may have been a while since you last used these, so be sure to refresh your memory before the test.
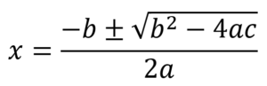
Quadratic formula:

If your experience is anything like mine, your early math teachers probably already made you memorize this. If not, you should! It is long and a little complicated, but it will be a big help to have on the ACT when you’re trying to solve quadratic equations.
Discriminant:
![]()
If…
- discriminant > 0 –> 2 real solutions
- discriminant = 0 –> 1 real solution
- discriminant < 0 –> no real solutions.
Don’t forget this half of the quadratic formula! This piece will let you know how many solutions you should end with.
Statistics and Probability Formulas
About 10% of the questions you’ll see on the math section will involve statistics and/or probability. It’s not the most frequent concept tested, but that doesn’t make it any less important. Make sure to glance over and see that these formulas are all up in your brain somewhere, you’ll need them.
Percents:
These formulas are fairly well known, but you want to be comfortable converting decimals to fractions – and vice versa – as well as finding X percent of another number quickly and easily on the test. The ACT moves quickly, so smaller concepts like these are still very important.
Statistics:

Something you’re also likely comfortable with, but just double-check that these all make sense to you. Sometimes students mistake range for the number of values in a set, or mistake mean and median for each other.
Probability and Counting Techniques:

As mentioned above, probability questions aren’t the most common concept you’ll be tested on, but you should expect to see between 6-10 questions about it.
Geometry Formulas
Everyone’s favorite math! Just kidding. From my experience, the general consensus is that geometry is difficult and useless, kind of like trying to fold a fitted sheet. The sad truth is that geometry makes up 35-40% of questions on ACT Math – yikes. So, despite your potential personal grudge against it, spend some time dedicated to memorizing and practicing these formulas.
Lines and Angles:
- Supplementary angles add to 180°
- Complementary angles add to 90°
- Vertical angles are congruent
Keep these notes in mind, some questions will ask you to identify or solve for a missing angle.
Triangles:
- Angles of a triangle add to 180°
- Area of a triangle = ½ × base × height
- Pythagorean theorem: a² + b² = c²
- 45 : 45 : 90 triangle ratio: x : x : x√2
- 30 : 60 : 90 triangle ratio: x : x√3 : 2x

How can something so complex have only three sides? Perimeter and area may be simple for you, but don’t forget to memorize different triangle ratios and their relation to SOH-CAH-TOA (more on that below).

Would it be a math blog without puns? I don’t think so.
Polygons:
Trapezoid Area:
![]()
- Perimeter = sum of sides
- Sum of angles in n-sided figure = (n – 2) × 180°
- Area of a rectangle = length × width
- Area of a parallelogram = base × height
Polygons can get tricky, but if you’re feeling stressed, just know you likely already have the skills you need to solve for these figures. Trapezoids are easily forgotten, so place some priority on memorizing the area formula as well as the sum of angles formula. When in doubt, see if you can split the trapezoid into a rectangle and two triangles to calculate for the area, perimeter, or missing side lengths.
Circles and Parabolas:
- Circle arc length = central angle / 360° × circumference
- Circle sector area = central angle / 360° × area
- Area of circle = πr²
- Circumference of circle = 2πr
- Diameter of circle = 2r

- Radius = r
- (x – h)² + (y – k)² = r²
- Center of circle = (h, k)
Circles and parabolas have a bit more to memorize when it comes to formulas. They don’t have all that much overlap with other shapes you’ll be studying for so spend some extra time ensuring you have these memorized. Some questions will ask you to answer in pi form, so be comfortable with that concept also.
Boost Your ACT Score with Personalized 1-on-1 Tutoring
Vertex form for a parabola:
- y = a(x – h)² + k
- Vertex = (h, k)
- Axis of symmetry: x = h

3D Figures:

- Surface area of rectangular prism:
- 2(length × width + length × height + width × height)
- Volume of rectangular prism: V = lwh
- Volume of right cylinder: V = πr²h
As long as you remember that the volume of most 3D figures is just the area of one side multiplied by the height of the shape, this shouldn’t be hard to nail down before test day. That being said, make sure you know how to find the area of different shapes (above).
Triangles and Trigonometry:
SOH-CAH-TOA:

- Sin(x) = opposite / hypotenuse
- Cos(x) = adjacent / hypotenuse
- Tan(x) = opposite / adjacent
- sin²(x) + cos²(x) = 1
- sin(x) = cos(90 – x)
- cos(x) = sin(90 – x)
I don’t know about you, but trigonometry was always really difficult for me. Unfortunately, you can expect to see it on the exam. With these specifically, make sure you aren’t just memorizing but also understanding these formulas. Let SOH-CAH-TOA become your new mantra!
Wrapping Up
Remember, this isn’t all of the math you need to be familiar with on the day of the test. Memorizing all of these formulas is really valuable, but knowing how to use them and when to implement them is even more beneficial.
As mentioned earlier, the ACT won’t provide you with these formulas when it’s time for the exam, unlike the SAT. If you’ve taken the SAT and relied on the formula sheet, make sure to prioritize some study time and work on memorizing these formulas before ACT day.
If you haven’t taken the SAT, don’t think you automatically have these in your brain hidden somewhere under the metaphorical piles of song lyrics and reality tv drama. Even if you’ve learned these before, which you likely have, that doesn’t mean you have them fully memorized or that you can use them correctly under the pressure of the exam. Everyone can benefit from a refresher of these formulas.

If your brain is anything like mine, you’ll need to make some space for these formulas – at least temporarily.
If you’re looking for more information on all of the topics you can expect to be tested on, how much time you’ll have to answer them, and how else you can prepare yourself – besides memorizing these formulas – check out this blog.










Comments